स्थिर मशीनिंग, अच्छी सतह फिनिश और लंबे टूल लाइफ के लिए कटिंग स्पीड और स्पिंडल स्पीड के बीच अंतर को समझना बेहद ज़रूरी है। कई मशीनिस्ट इन दोनों अवधारणाओं को लेकर भ्रमित रहते हैं, लेकिन ये दोनों अलग-अलग हैं। कटिंग स्पीड बताती है कि कटिंग एज सामग्री पर कितनी तेज़ी से चलती है, जबकि स्पिंडल स्पीड (RPM) बताती है कि टूल कितनी तेज़ी से घूमता है।
सीएनसी मिलिंग और टर्निंग में, सही कटिंग स्पीड और स्पिंडल स्पीड चुनने से गर्मी कम हो सकती है, टूल का घिसाव रुक सकता है और मशीनिंग दक्षता में सुधार हो सकता है। यह गाइड कटिंग स्पीड बनाम स्पिंडल स्पीड, उनकी गणना कैसे करें, और स्टील, स्टेनलेस स्टील और एल्युमीनियम जैसी विभिन्न सामग्रियों के लिए वे एक साथ कैसे काम करते हैं, इसकी व्याख्या करती है।
कटिंग स्पीड उस रैखिक गति को संदर्भित करती है जिस पर उपकरण की कटिंग एज वर्कपीस की सतह पर गति करती है। इसे आमतौर पर मीटर प्रति मिनट (m/min) या सतह फीट प्रति मिनट (SFM) में मापा जाता है। स्पिंडल स्पीड के विपरीत, जो उपकरण के घूमने की गति को दर्शाती है, कटिंग स्पीड उपकरण और सामग्री के बीच वास्तविक संपर्क गति पर केंद्रित होती है।
सही कटिंग गति का चयन महत्वपूर्ण है क्योंकि यह उपकरण के जीवनकाल, ऊष्मा उत्पादन, चिप निर्माण और समग्र मशीनिंग स्थिरता को सीधे प्रभावित करता है। उच्च कटिंग गति अधिक ऊष्मा उत्पन्न करती है और उपकरण के जीवनकाल को कम कर सकती है, जबकि बहुत कम गति चिप निष्कासन को खराब कर सकती है और किनारे पर जमाव पैदा कर सकती है।
काटने की गति भी मशीनिंग की जा रही सामग्री के आधार पर भिन्न होती है। उदाहरण के लिए, एल्युमीनियम बहुत तेज़ गति से काटने की अनुमति देता है, जबकि स्टेनलेस स्टील को अपनी कठोरता और ऊष्मा संवेदनशीलता के कारण काफी कम गति की आवश्यकता होती है। आधुनिक कार्बाइड उपकरण आमतौर पर उच्च गति वाले स्टील (HSS) उपकरणों की तुलना में अधिक गति से काटने की अनुमति देते हैं।
सीएनसी मशीनिंग में, काटने की गति स्पिंडल गति (आरपीएम) की गणना करने और कुशल मिलिंग, टर्निंग और ड्रिलिंग संचालन सुनिश्चित करने के लिए आधार के रूप में कार्य करती है।

स्पिंडल गति, उपकरण या वर्कपीस की घूर्णन गति को दर्शाती है, जिसे प्रति मिनट चक्कर (RPM) में मापा जाता है। यह आपको बताती है कि उपकरण एक मिनट में कितनी बार घूमता है। जहाँ काटने की गति सामग्री पर उपकरण की रैखिक गति पर केंद्रित होती है, वहीं स्पिंडल गति उपकरण के घूर्णन को ही दर्शाती है।
स्पिंडल की गति सीधे उपकरण के व्यास से प्रभावित होती है। छोटे औजारों को समान काटने की गति प्राप्त करने के लिए अधिक RPM की आवश्यकता होती है, जबकि बड़े औजारों को अत्यधिक गर्मी और कंपन से बचने के लिए कम RPM की आवश्यकता होती है। यही कारण है कि औजार का आकार बदलने पर हमेशा स्पिंडल की गति की पुनर्गणना करनी पड़ती है।
चटर, उपकरण के टूटने, खराब सतही फिनिश और अत्यधिक घिसाव को रोकने के लिए सही स्पिंडल गति का चयन आवश्यक है। बहुत अधिक RPM कटिंग एज को ज़्यादा गर्म कर सकता है, जबकि बहुत कम RPM काटने के बजाय रगड़ का कारण बन सकता है।
सीएनसी मिलिंग और टर्निंग में, स्पिंडल स्पीड, कटिंग स्पीड और फीड रेट के साथ मिलकर स्थिर मशीनिंग प्रदर्शन सुनिश्चित करती है। यह टूलपाथ प्रोग्रामिंग में एक महत्वपूर्ण पैरामीटर है, खासकर स्टील, एल्युमीनियम और स्टेनलेस स्टील जैसी विभिन्न सामग्रियों को काटते समय।

यद्यपि काटने की गति और धुरी की गति संबंधित हैं, वे मशीनिंग के दो पूरी तरह से अलग पहलुओं का वर्णन करते हैं:
काटने की गति रैखिक होती है; धुरी की गति घूर्णी होती है।
काटने की गति यह मापती है कि काटने वाली धार सामग्री की सतह पर कितनी तेजी से चलती है।
स्पिंडल गति मापती है कि उपकरण RPM में कितनी तेजी से घूमता है।
काटने की गति स्थिर रहती है; उपकरण के व्यास के साथ स्पिंडल की गति बदलती रहती है।
मशीनिस्ट सामग्री (स्टील, स्टेनलेस स्टील, एल्यूमीनियम) के आधार पर काटने की गति का चयन करते हैं।
काटने की गति से मेल खाने के लिए स्पिंडल गति की गणना उपकरण के व्यास के अनुसार की जानी चाहिए।
काटने की गति गर्मी और उपकरण के घिसाव को प्रभावित करती है।
उच्च काटने की गति से गर्मी बढ़ती है और उपकरण का जीवनकाल कम हो जाता है।
कम काटने की गति के कारण रगड़ और खराब चिप निर्माण हो सकता है।
स्पिंडल गति स्थिरता और सतह परिष्करण को प्रभावित करती है।
बहुत अधिक RPM के कारण कंपन या चटर-ध्वनि हो सकती है।
बहुत कम आरपीएम के कारण सतह खुरदरी हो जाती है और कटाई अकुशल हो जाती है।
काटने की गति RPM निर्धारित करती है।
काटने की गति प्रारंभिक बिंदु है।
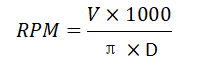
स्पिंडल गति (आरपीएम) की गणना कटिंग गति सूत्र से की जाती है।
इन अंतरों को समझने से बेहतर मशीनिंग प्रदर्शन, लंबा उपकरण जीवन और सीएनसी संचालन में अधिक सटीक प्रोग्रामिंग सुनिश्चित करने में मदद मिलती है।
कुशल और सुरक्षित सीएनसी मशीनिंग के लिए कटिंग स्पीड और स्पिंडल स्पीड की सटीक गणना आवश्यक है। यह इस प्रकार काम करता है:
काटने की गति (V) को आमतौर पर मीटर प्रति मिनट (m/min) या सतह फीट प्रति मिनट (SFM) में मापा जाता है।
काटने की गति की गणना करने का सूत्र है:

V = काटने की गति
D = उपकरण व्यास
RPM = स्पिंडल गति
इससे पता चलता है कि काटने की गति स्पिंडल गति और उपकरण व्यास दोनों पर निर्भर करती है।
यदि आप वांछित काटने की गति जानते हैं, तो स्पिंडल गति की गणना की जा सकती है:
मिलीमीटर में उपकरण व्यास से मिलान करने के लिए D को समायोजित करें।
इंच के लिए, SFM को उपयुक्त इकाई में परिवर्तित करें।
छोटे व्यास वाली एंड मिल: अनुशंसित काटने की गति तक पहुंचने के लिए उच्च RPM की आवश्यकता होती है।
बड़े व्यास वाला मिलिंग कटर: समान काटने की गति बनाए रखने के लिए कम RPM की आवश्यकता होती है।
एल्युमीनियम में काटने की गति अधिक होती है; स्टेनलेस स्टील में अधिक गर्मी से बचने के लिए कम गति की आवश्यकता होती है।
काटने की गति के लिए हमेशा उपकरण निर्माता की सिफारिशों की जांच करें।
सही RPM सुनिश्चित करने के लिए CAM सॉफ्टवेयर या कैलकुलेटर का उपयोग करें।
इष्टतम मशीनिंग के लिए सही स्पिंडल गति को उपयुक्त फीड दर के साथ संयोजित करें।
इन सूत्रों को समझकर, आप उपकरण के जीवन को अधिकतम करने, गर्मी को कम करने और बेहतर सतह परिष्करण प्राप्त करने के लिए सही काटने की गति और धुरी गति निर्धारित कर सकते हैं।
किसी निश्चित काटने की गति के लिए धुरी की गति निर्धारित करने में उपकरण का व्यास महत्वपूर्ण भूमिका निभाता है। इस संबंध को समझने से उपकरण को होने वाली क्षति को रोकने और मशीनिंग के निरंतर प्रदर्शन को सुनिश्चित करने में मदद मिलती है।
समान काटने की गति बनाए रखने के लिए छोटे व्यास वाले औजारों को तेजी से घूमना चाहिए।
उदाहरण: 10 मिमी एंड मिल को समान कटिंग गति पर 50 मिमी कटर की तुलना में बहुत अधिक आरपीएम की आवश्यकता होती है।
छोटे औजारों के लिए उच्च आर.पी.एम. से कंपन का खतरा बढ़ जाता है, इसलिए स्पिंडल गति और फीड दर को संतुलित करना महत्वपूर्ण है।
बड़े व्यास वाले उपकरण प्रति चक्कर अधिक सतह को कवर करते हैं।
कम आरपीएम अत्यधिक गर्मी को रोकता है और उपकरण के घिसाव को कम करता है।
बड़े औजारों के लिए गलत RPM का उपयोग करने से सतह की फिनिश खराब हो सकती है या औजार टूट सकता है।
अंत मिलें, ड्रिल और बोरिंग उपकरणों में से प्रत्येक को विशिष्ट स्पिंडल गति समायोजन की आवश्यकता होती है।
उपकरण का आकार बदलते समय हमेशा RPM की पुनः गणना करें।
सटीकता सुनिश्चित करने के लिए CAM सॉफ्टवेयर या स्पिंडल कैलकुलेटर का उपयोग करें।
उपकरण की दीर्घायु और मशीनिंग दक्षता के लिए उचित कटिंग गति और स्पिंडल गति अत्यंत महत्वपूर्ण हैं। गलत सेटिंग्स से उपकरण जल्दी क्षतिग्रस्त हो सकता है या पुर्जे खराब गुणवत्ता के हो सकते हैं।
बहुत अधिक: अत्यधिक गर्मी उत्पन्न होती है, जिससे उपकरण तेजी से घिस जाता है या किनारे टूट जाते हैं।
बहुत कम: इससे काटने की बजाय रगड़ लगती है, जिससे बिल्ट-अप एज (BUE) बनता है और सतह खराब हो जाती है।
इष्टतम काटने की गति गर्मी उत्पादन, चिप निर्माण और उपकरण जीवन को संतुलित करती है।
बहुत अधिक RPM: कंपन, चटर, तथा समय से पहले उपकरण खराब होने का कारण बन सकता है।
बहुत कम RPM: काटने की दक्षता कम हो जाती है और सामग्री की सतह को नुकसान पहुंच सकता है।
उचित आरपीएम स्थिर कटाई और सटीक सतह परिष्करण सुनिश्चित करता है।
काटने की गति और स्पिंडल की गति एक साथ काम करती हैं: काटने की गति लक्ष्य निर्धारित करती है, और स्पिंडल की गति उपकरण के व्यास के आधार पर समायोजित होती है।
सही संयोजन घिसाव को कम करता है, सतह की फिनिश को बेहतर बनाता है, तथा सामग्री निष्कासन दर (एमआरआर) को अधिकतम करता है।
स्टील और स्टेनलेस स्टील को अधिक गर्म होने से बचाने के लिए कम काटने की गति की आवश्यकता होती है।
एल्युमीनियम और नरम धातुएं उच्च गति और उच्च आर.पी.एम. की अनुमति देती हैं।
कार्बाइड उपकरण एचएसएस उपकरणों की तुलना में अधिक काटने की गति का समर्थन करते हैं।
विभिन्न सामग्रियों के लिए इष्टतम मशीनिंग प्रदर्शन प्राप्त करने हेतु अलग-अलग कटिंग गति और स्पिंडल गति की आवश्यकता होती है। सही मापदंडों का चयन उपकरण के लंबे जीवन, बेहतर सतह परिष्करण और उच्च दक्षता सुनिश्चित करता है।
इस्पात
काटने की गति: 50-120 मीटर/मिनट (कठोरता और मिश्र धातु पर निर्भर करता है)।
उपकरण व्यास के आधार पर मध्यम RPM का उपयोग करें।
कम गति से गर्मी का निर्माण और उपकरण के घिसाव को रोकने में मदद मिलती है।

स्टेनलेस स्टील
काटने की गति: 30-80 मीटर/मिनट (कठोर सामग्रियों को धीमी गति से काटने की आवश्यकता होती है)।
कंपन और किनारे के टूटने से बचने के लिए स्पिंडल की गति कम करनी चाहिए।
तापमान को नियंत्रित करने के लिए शीतलक का उपयोग अत्यधिक अनुशंसित है।
अल्युमीनियम
काटने की गति: 200-600 मीटर/मिनट (नरम, मशीन में आसानी से काटी जाने वाली धातु)।
उच्च स्पिंडल गति कुशल सामग्री हटाने की अनुमति देती है।
छोटे व्यास वाले उपकरणों से होने वाली चटर-पटर को रोकने के लिए फीड दर को समायोजित करें।
पीतल, तांबा, प्लास्टिक
पीतल: मध्यम काटने की गति, चिकनी चिप प्रवाह।
तांबा: कार्य को कठोर होने से बचाने के लिए गति कम करें।
प्लास्टिक: उच्च गति, कम फीड, और सावधानीपूर्वक चिप निष्कासन।
उपकरण सामग्री पर विचार
हाई-स्पीड स्टील (एचएसएस): कम काटने की गति, लंबा संपर्क समय।
कार्बाइड उपकरण: तेज मशीनिंग के लिए उच्च गति और उच्च RPM का समर्थन करते हैं।
उपकरण के प्रकार के लिए हमेशा निर्माता द्वारा अनुशंसित गति का पालन करें।
काटने की गति और धुरी की गति निर्धारित करते समय होने वाली आम गलतियाँ आमतौर पर सभी सामग्रियों को एक जैसा मानने से होती हैं। प्रत्येक सामग्री के लिए अपनी अनुशंसित काटने की गति आवश्यक होती है, इसलिए एक ही सार्वभौमिक मान का उपयोग करने से उपकरण जल्दी घिस जाता है और सतह की फिनिश खराब हो जाती है। एक और आम गलती उपकरण के व्यास को नज़रअंदाज़ करना है—छोटे उपकरणों को ज़्यादा RPM पर चलना चाहिए जबकि बड़े उपकरणों को कम RPM की आवश्यकता होती है। कई ऑपरेटर धुरी की गति बहुत ज़्यादा सेट कर देते हैं, जिससे गर्मी, जलन और चिप वेल्डिंग होती है, जबकि बहुत कम RPM से काटने की बजाय रगड़ लगती है। उपकरण की सामग्री से मेल न खाने वाली काटने की गति चुनना भी एक आम समस्या है, क्योंकि HSS और कार्बाइड के लिए अलग-अलग मापदंडों की आवश्यकता होती है। अंत में, अपर्याप्त शीतलक, खासकर स्टेनलेस स्टील या उच्च-तापमान मिश्र धातुओं की मशीनिंग करते समय, गर्मी बढ़ाता है और उपकरण का जीवनकाल काफ़ी कम कर देता है।
1. काटने की गति और स्पिंडल गति के बीच क्या अंतर है?
काटने की गति से तात्पर्य है कि काटने वाली धार सामग्री की सतह पर कितनी तेज़ी से चलती है (मीटर/मिनट या फुट/मिनट में मापी जाती है)। स्पिंडल गति, RPM में स्पिंडल की घूर्णन गति है। काटने की गति, उपकरण के व्यास के आधार पर सही RPM निर्धारित करती है।
2. सीएनसी मशीनिंग में काटने की गति क्यों महत्वपूर्ण है?
क्योंकि यह ताप, चिप निर्माण और उपकरण के घिसाव को नियंत्रित करता है। सही काटने की गति उपकरण के जीवनकाल, सतह की फिनिश और समग्र मशीनिंग दक्षता में सुधार करती है।
3. क्या मैं कार्बाइड और एचएसएस उपकरणों के लिए समान काटने की गति का उपयोग कर सकता हूं?
नहीं। कार्बाइड उपकरण ज़्यादा तेज़ गति से चल सकते हैं क्योंकि वे गर्मी को बेहतर ढंग से सहन कर सकते हैं। एचएसएस उपकरणों को जलने से बचाने के लिए कम गति की आवश्यकता होती है।
4. यदि मेरी स्पिंडल गति बहुत अधिक हो तो क्या होगा?
आपको ओवरहीटिंग, ब्लू चिप्स, उपकरण जलना, या समय से पहले उपकरण खराब होना आदि समस्याएं हो सकती हैं।
5. यदि मेरी स्पिंडल गति बहुत कम हो तो क्या होगा?
उपकरण काटने के बजाय रगड़ता है, जिससे सतह खराब हो जाती है, अत्यधिक गर्मी पड़ती है, तथा मशीनिंग अकुशल हो जाती है।
6. क्या शीतलक और स्नेहन अनुशंसित गति को प्रभावित करते हैं?
हाँ। पर्याप्त शीतलक के साथ, आप अक्सर थोड़ी अधिक गति से चल सकते हैं और बेहतर उपकरण जीवन प्राप्त कर सकते हैं, खासकर स्टेनलेस स्टील या सुपरअलॉय को काटते समय।
स्थिर, कुशल और किफ़ायती मशीनिंग के लिए कटिंग स्पीड और स्पिंडल स्पीड के बीच के अंतर को समझना ज़रूरी है। जब इन दोनों मापदंडों को सही ढंग से सेट किया जाता है, तो आपको बेहतर फिनिश, लंबा टूल लाइफ और बेहतर उत्पादकता मिलती है—ठीक वही जो हर सीएनसी शॉप को चाहिए। हमेशा सुझाए गए स्पीड चार्ट से शुरुआत करें, सही फ़ॉर्मूले लागू करें, और अपनी वास्तविक कटिंग स्थितियों के आधार पर फाइन-ट्यून करें।
यदि आप विश्वसनीय की तलाश में हैं सीएनसी मशीनें सटीक गति नियंत्रण के साथ निरंतर प्रदर्शन प्रदान करने वाले, यांगसेन सटीकता, टिकाऊपन और मांगलिक औद्योगिक अनुप्रयोगों के लिए डिज़ाइन किए गए मशीनिंग केंद्र प्रदान करता है। तकनीकी सहायता के लिए या अपनी मशीनिंग आवश्यकताओं के अनुरूप कोटेशन प्राप्त करने के लिए किसी भी समय हमारी टीम से संपर्क करें।